Lesson 4: Spatial Weights and Applications

Dr. Kam Tin Seong
Assoc. Professor of Information Systems(Practice)

School of Computing and Information Systems,
Singapore Management University

13 Sep 2025

Content

  • Introduction to Spatial Weights
  • Contiguity-Based Spatial Weights
    • Rook’s
    • Queen’s
  • Distance-Band Spatial Weights
  • Applications of Spatial Weights

What is geographically referenced attribute?

Rows: 323
Columns: 12
$ SUBZONE_N        <chr> "MARINA SOUTH", "PEARL'S HILL", "BOAT QUAY", "HENDERS…
$ SUBZONE_C        <fct> MSSZ01, OTSZ01, SRSZ03, BMSZ08, BMSZ03, BMSZ07, BMSZ0…
$ PLN_AREA_N       <fct> MARINA SOUTH, OUTRAM, SINGAPORE RIVER, BUKIT MERAH, B…
$ PLN_AREA_C       <fct> MS, OT, SR, BM, BM, BM, BM, SR, QT, QT, QT, BM, ME, R…
$ REGION_N         <fct> CENTRAL REGION, CENTRAL REGION, CENTRAL REGION, CENTR…
$ REGION_C         <fct> CR, CR, CR, CR, CR, CR, CR, CR, CR, CR, CR, CR, CR, C…
$ YOUNG            <dbl> NA, 1100, 0, 2620, 2840, 2910, 2850, 0, 1120, 30, NA,…
$ `ECONOMY ACTIVE` <dbl> NA, 3420, 50, 7500, 6260, 7560, 8340, 50, 2750, 210, …
$ AGED             <dbl> NA, 2110, 20, 3260, 1630, 3310, 3590, 10, 560, 50, NA…
$ TOTAL            <dbl> NA, 6630, 70, 13380, 10730, 13780, 14780, 60, 4430, 2…
$ DEPENDENCY       <dbl> NA, 0.9385965, 0.4000000, 0.7840000, 0.7140575, 0.822…
$ geometry         <MULTIPOLYGON [m]> MULTIPOLYGON (((31495.56 30..., MULTIPOL…

Describing attribute distribution

The dependency ratio values by planning subzone are normally distributed.

Geographical distribution question

Are the planning subzones with high proportion of dependency ratio randomly distributed over space?

Geographical distribution question

Are the planning subzones with high proportion of dependency ratio randomly distributed over space?

What are Spatial Weights (wij)

  • A way to define spatial neighbourhood.

Defining Spatial Weights

Contiguity Neighbours

  • Contiguity (common boundary)

  • What is a “shared” boundary?

Beyond the basic contiguity neighbours

There are also second-order, third-order, forth-order, etc contiguity

Weights matrix: Adjacency-based neighbours

Quiz: With reference to the figure below, list down the neighbour(s) of area 1202 using Rook case.

Weights Matrix: Distance-based neighbours

Quiz: With reference to the figure below, create a weights matrix for d = 650.

Weights matrix: Measured distances

Row standardisation

In practice, row-standardised weights instead of spatial weights will be used.

Applications of Spatial Weights

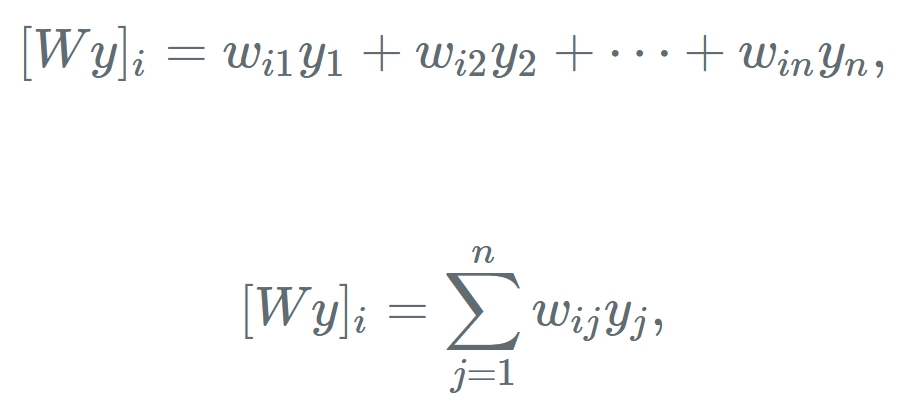
Formally, for observation i, the spatial lag of yi, referred to as [Wy]i (the variable Wy observed for location i) is:

where the weights wij consist of the elements of the i-th row of the matrix W, matched up with the corresponding elements of the vector y.

Spatially Lagged Variables

Spatial lag with row-standardized weights.

Spatial window sum

The spatial window sum uses and includes the diagonal element.

References